dramforever

a row of my life

Chair Trees (a.k.a Persistent Segment Trees) (SPOJ MKTHNUM)

2015-12-14

Here's a new year gift.

In the entire article, Haskell programming experience is assumed.

First comes the pile of imports, included for completeness.

{-# OPTIONS_GHC -O2 #-}
{-# LANGUAGE BangPatterns #-}
module Main (main) where

import System.IO
import Data.Array
import Data.Bits
import Data.Char
import Data.Function
import Data.List hiding (maximum)
import Control.Monad
import Data.Foldable
import Prelude hiding (maximum)
import qualified Data.ByteString.Char8 as L
import Control.Monad.Trans.State
import Control.Monad.IO.Class

The problem: K-th Number (MKTHNUM)

Given a list of distinct numbers \(A[1 \dots N]\), and \(m\) queries, for each query \(Q(i, j, k)\), answer the k-th number in the segment \(A[i\dots j]\) after it is sorted, i.e., the \(k\)-th smallest number in that segment. There are at most \(10^5\) numbers and \(5000\) queries, and each number does not exceed \(10^9\) by its absolute value.

For example, \(A = [1\ 5\ 2\ 6\ 3\ 7\ 4]\), and the query is \(Q(2, 5, 3)\). The segment in question is \([5\ 2\ 6\ 3]\), and the 3rd smallest is 5.

Segment Trees

First, let's introduce the segment tree, a binary tree shaped data structure that describes a set of numbers in the range \([0 \dots U]\), where \(U\) is global. It stores the count of numbers in \(S\) within certain ranges.

It has the following operations:

Let \([i \dots j]\) be a subrange of \([0 \dots U]\). A segment tree node of a set \(S\) is defined as the following Haskell data type:

data Node = Branch Int  -- Value
                   Node -- Left child
                   Node -- Right child

Where:

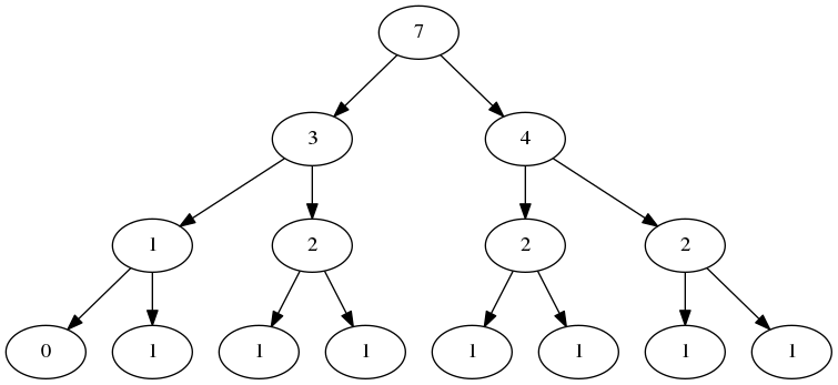
Note that the indices \(i\) and \(j\) are not stored. They can be computed on-the-fly when recursing. A segment tree is then just a segment tree node describing the range \([0 \dots U]\). For an example, here's the segment tree for \(A = [1\ 5\ 2\ 6\ 3\ 7\ 4]\) (The undefined nodes are not shown):

Having defined the structure and operations, let's implement them in Haskell.

The Empty Set

In the empty set, every node has a value \(0\), so we only need a cyclic node.

sgtEmpty :: Node
sgtEmpty = Branch 0 sgtEmpty sgtEmpty

Insertion

We define middle using a bit shift

middle :: Int -> Int -> Int
middle a b = (a + b) `shiftR` 1

As for insertion, we recurse through the tree, finding nodes that needs to be incremented by one, and reuse the rest. Here \(n\) stands for the \(U\).

sgtInsert :: Int -> Node -> Int -> Node
sgtInsert n t x = go 0 n t

The variables \(lb\) and \(rb\) stands for "left bound" and "right bound", and is called \(i\) and\(j\) above. If \(lb = rb\), it means that we are at a leaf.

  where go lb rb (Branch c _ _) | lb == rb =
          Branch (c + 1) invalidNode invalidNode

Otherwise, we increment the value at the current node by one, and recurse into the child whose range contains the number \(x\)

        go lb rb (Branch c l r) =
          if x <= middle lb rb
            then Branch (c + 1) (go lb (middle lb rb) l) r
            else Branch (c + 1) l (go (middle lb rb + 1) rb r)

Querying the \(k\)-th number

sgtGetKth :: Int -> Int -> Node -> Int
sgtGetKth k n t = go k 0 n t

If \(i = j\), then the number must be \(i\), because that is the only number we have.

  where go _ lb rb _ | lb == rb = lb

Otherwise, we still let \(m = \lfloor (i + j) / 2 \rfloor\). We check to see how many numbers we have in \([i \dots m]\). If that number is larger than or equal to \(k\), it means that the \(k\)-th is in \([i \dots m]\), and otherwise it is in \([m + 1 \dots j]\). We then just recurse into the corresponding nodes. In the code below \(k\) is renamed to \(b\) to avoid name clashes.

        go b lb rb (Branch _ l@(Branch sl _ _) r) =
          if b <= sl
            then go b lb (middle lb rb) l
            else go (b - sl) (middle lb rb + 1) rb r

Difference

The difference operation is just a simple zip.
sgtDiff :: Node -> Node -> Node
Branch x1 l1 r1 `sgtDiff` Branch x2 l2 r2 =
  Branch (x1 - x2) (l1 `sgtDiff` l2) (r1 `sgtDiff` r2)
This operation may seem slow, but do note that we have lazy evaluation in Haskell. If the only thing we do with sgtDiff is to pass its result to sgtGetKth, then only the nodes visited gets computed, so the overall complexity is not affected except a constant factor. Such a property is crucial in the implementation of the Chair Tree.

Chair Tree (a.k.a Persistent Segment Tree when used for K-th Number Problems)

A brief etymology note: The Persistent Segment Tree, when used for solving variants of K-th Number problems, is commonly called "Chair Tree" (主席树) here in China, because it was promoted by someone whose name's Pinyin initials are the same as one of the former Presidents of China. However, I was unable to find more details about this. "Chair Tree" is much shorter than "Persistent Segment Tree", and is what I'll use here.

A Chair Tree is really an array of segment trees. For a list \(A[1 \dots N]\), the array \(CT[0 \dots N]\), in which \(CT[i]\) is the segment tree describing the segment \(A[1 \dots i]\), and specifically, \(A[0]\) is the empty segment tree.

The Chair Tree is described by the following data type. The field ctMaxval is the \(U\) above.

data ChairTree = ChairTree
  { ctMaxval :: Int
  , ctArray :: Array Int Node
  }
To build the array, we insert each \(A[i]\) into \(CT[i-1]\).
buildChairTree :: [Int] -> ChairTree
buildChairTree ls =
  ChairTree { ctMaxval = maxval
            , ctArray = listArray (0, length ls)
                                  (scanl (sgtInsert maxval)
                                         sgtEmpty
                                         ls)
            }
  where maxval = maximum ls

To answer the query \(Q(i, j, k)\), we first take the difference of \(CT[j]\) and \(CT[i-1]\), which describes \(A[i \dots j]\). Then we just get the \(k\)-th number from it.

queryChairTree :: ChairTree -> Int -> Int -> Int -> Int
queryChairTree (ChairTree maxval arr) lb rb k =
  sgtGetKth k maxval ((arr ! rb) `sgtDiff` (arr ! (lb - 1)))

An Optimization: Coordinate Compression

We could easily map the numbers in \(A[]\) to numbers in \([0 \dots N - 1]\). This way, we make the operations faster by reducing the range, and also avoid dealing with negative numbers. In the following code, sorted is a list of (new value, (original index, original value)), newxs is the mapped list, and mapping is the mapping back to the original numbers. I'm really sorry for the mess here.
compress :: Int -> [Int] -> (Array Int Int, [Int])
compress n xs = (mapping, newxs)
  where sorted = zip [0..] (sortBy (compare `on` snd) (zip [0..] xs))
        newxs = toList (array (0, (n-1))
                        (map (\(newix, (oldix, _)) -> (oldix, newix)) sorted)
                       )
        mapping = array (0, (n-1)) (map (\(newix, (_, val)) -> (newix, val)) sorted)

A driver program

getInt :: StateT L.ByteString IO Int
getInt = do modify (L.dropWhile isSpace)
            oldstr <- get
            let Just (n, newstr) = L.readInt oldstr
            put newstr
            return n

main' :: StateT L.ByteString IO ()
main' =
  do n <- getInt
     m <- getInt
     xs <- replicateM n getInt
Due to a strange bug in the so-called "state hack" in GHC, I have to use these bang patterns to prevent it from messing with my performance.
     let (!mapping, !newxs) = compress n xs
         !ct = buildChairTree xs

     replicateM_ m $ do i <- getInt
                        j <- getInt
                        k <- getInt

                        liftIO (print (mapping ! queryChairTree ct i j k))

main :: IO ()
main = do s <- L.getContents
          evalStateT main' s
That's it, the code is reasonably fast, and should be correct (I tested it with large random inputs, and it matches my C++ implementation).

Just, Um, One More Thing

The code above won't give AC in SPOJ. It will get TLE. As you see I said reasonably fast, but it's still not fast enough. Do you know how I can improve this? It would be great if you can help.